Inverse Functions
- Exercise 1:
- horizontal pipe
- length l = 2 km
- diameter d = 0.5 m
- surface roughness k = 0.1 mm
- volume flow
= 1200 m³/h, water of 85 °C
- compute pressure loss Δp
- mathematical problem: analytically solve
"simple" equation
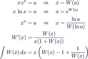
- Special function:
- Lambert W function
- positive branch of the inverse of
f(x) = x ex for x > -1/e

- important properties (for suitable x, a)
- computation in Matlab
- directly defined as
lambertw(x)
- negative branch with
lambertw(-1, x)
- Further applications e.g.:
- explicit solutions of some quantenmechanical
systems
- kinetics of enzyme-catalysed reactions
- crystal growth
- Einstein vacuum equations
- epidemiology
- Solution of exercise 1:
- get density ρ and kinematic viscosity ν from water
tables
- compute dimensionless quantities
- compute the Darcy friction factor λ by solving the
Coleman equation

- introducing
and some
abbreviations →

- simple algebra →

- solution

- numerical evaluation →
- λ = 0.0148
- compute pressure loss