Modeling Tee Branches (1)
- Tee branches:
- split or join mass flows

- simplification: 90° angle and identical cross
sections A
- complex behaviour
- changed total cross sections → dynamic pressure
changes
- internal friction → pressure drops
- nonlinear coupling across the complete model
- MFL: drastic simplifications necessary
(substitutional pipe length)
- TFS: no nonlinear coupling of components (mass
flow is state variable!)
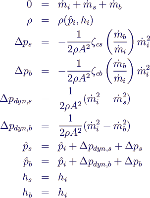
- Equations of basic splitter TeeBranchS:
- simplifications
- constant temperature
- constant density, coming from input state
- in applications usually ok
- loss functions ζcs, ζcb
- describe friction and part of dynamical
pressure
- here: simple fit polynomials
- basic equations
- in TFS additional equations for r variable (Zimmer
2020)